





構建了基于液滴微流控(DREM cell)的超高通量篩選平臺,并與D-阿洛酮糖生物傳感器相結合,用于酮糖3-差向異構酶(KEases)的定向進化;獲得突變體M3-2的催化效率比原始sfDAE提高17倍。
——Angewandte Chemie,2023

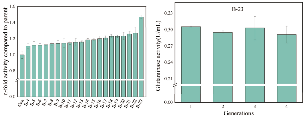
案例二:高產谷氨酰胺酶突變株高通量篩選▼
利用高通量皮升級液滴微流控細胞分選儀(DREM cell),對常壓室溫等離子體(ARTP)誘變的解淀粉芽孢桿菌全基因組突變庫進行超高通量篩選,成功獲得了一株谷氨酰胺酶產量提高47%以上的突變株。
——Biochemical Engineering,2022


案例三:谷氨棒桿菌高效分泌蛋白關聯基因挖掘▼
在谷棒中繪制了蛋白分泌的基因型-表型關聯圖譜,系統地揭示了其基因組中能夠用于改善分泌蛋白生產的基因位點,通過氧還轉錄因子CosR和RshA的組合敲除獲得VHH產量提高2.78倍的底盤菌株。
——Metabolic Engineering,2022

案例四:單細胞培養的蜜蜂腸道微生物功能多樣性研究▼
該研究利用高通量液滴微流控平臺(DREM cell),對蜜蜂腸道單個細菌進行皮升級液滴培養和鳥槍法宏基因組測序,通過宏基因組分析展示了蜜蜂腸道微生物的菌株水平多樣性,揭示了不同細菌屬中潛在新菌株的存在。
——Microbiome, 2022

構建了基于液滴微流控(DREM cell)的超高通量篩選平臺,并與D-阿洛酮糖生物傳感器相結合,用于酮糖3-差向異構酶(KEases)的定向進化;獲得突變體M3-2的催化效率比原始sfDAE提高17倍。
——Angewandte Chemie,2023

案例二:高產谷氨酰胺酶突變株高通量篩選▼
利用高通量皮升級液滴微流控細胞分選儀(DREM cell),對常壓室溫等離子體(ARTP)誘變的解淀粉芽孢桿菌全基因組突變庫進行超高通量篩選,成功獲得了一株谷氨酰胺酶產量提高47%以上的突變株。
——Biochemical Engineering,2022


案例三:谷氨棒桿菌高效分泌蛋白關聯基因挖掘▼
在谷棒中繪制了蛋白分泌的基因型-表型關聯圖譜,系統地揭示了其基因組中能夠用于改善分泌蛋白生產的基因位點,通過氧還轉錄因子CosR和RshA的組合敲除獲得VHH產量提高2.78倍的底盤菌株。
——Metabolic Engineering,2022

案例四:單細胞培養的蜜蜂腸道微生物功能多樣性研究▼
該研究利用高通量液滴微流控平臺(DREM cell),對蜜蜂腸道單個細菌進行皮升級液滴培養和鳥槍法宏基因組測序,通過宏基因組分析展示了蜜蜂腸道微生物的菌株水平多樣性,揭示了不同細菌屬中潛在新菌株的存在。
——Microbiome, 2022
