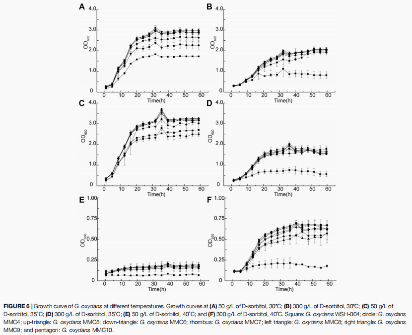
本期為您推薦江南大學周景文教授研究團隊發表在《Frontiers in Bioengineering and Biotechnology》(IF=6.064)上的一篇文章:Rapid Enabling of Gluconobacter oxydans Resistance to High D-Sorbitol Concentration and High Temperature by Microdroplet-Aided Adaptive Evolution. 該研究使用液滴微流控技術(Microbial Microdroplet Culture system,MMC)對Gluconobacter oxydans WSH-004進行適應性進化,經過約90d的馴化得到最佳菌株MMC10,該菌株對高濃度底物和高溫的耐受性顯著提高,能在40°C下、含300 g/L D-山梨醇的培養基中生長[1]。
氧化葡糖桿菌能夠合成L-山梨糖,但其高濃度底物D-山梨醇會對發酵過程造成嚴重抑制。補料分批發酵可以緩解底物抑制,但會增加生產成本和污染風險。因此需要獲得一種能耐受更高D-山梨醇濃度的氧化葡糖桿菌,以緩解底物的抑制作用。為直接提高微生物對不利環境脅迫的耐受性,適應性進化是在特定環境條件下進化微生物的有效方法,與傳統的自適應性進化相比,MMC的應用可以減少時間和,簡化實驗過程,提高效率。
本研究旨在利用MMC對Gluconobacter oxydans WSH-004進行適應性進化,以提高其對高濃度底物和高溫的耐受性。經過約90d的進化實驗后,獲得了多個適應性進化的菌株,即Gluconobacter oxydans MMC1-MMC10。結果表明,最佳菌株MMC10在40°C下、含300 g/L D-山梨醇的培養基中生長。比較基因組分析顯示,與耐受性增加相關的遺傳變化主要發生在蛋白質翻譯基因中。這項研究表明,液滴微流控技術是在短時間內改善未闡明基因型表型的有效工具。



[1] Liu L, Zeng W, Yu S, Li J and Zhou J (2021) Rapid Enabling of Gluconobacter oxydans Resistance to High D-Sorbitol Concentration and High Temperature by MicrodropletAided Adaptive Evolution. Front. Bioeng. Biotechnol. 9:731247.
doi: 10.3389/fbioe.2021.731247
本期為您推薦江南大學周景文教授研究團隊發表在《Frontiers in Bioengineering and Biotechnology》(IF=6.064)上的一篇文章:Rapid Enabling of Gluconobacter oxydans Resistance to High D-Sorbitol Concentration and High Temperature by Microdroplet-Aided Adaptive Evolution. 該研究使用液滴微流控技術(Microbial Microdroplet Culture system,MMC)對Gluconobacter oxydans WSH-004進行適應性進化,經過約90d的馴化得到最佳菌株MMC10,該菌株對高濃度底物和高溫的耐受性顯著提高,能在40°C下、含300 g/L D-山梨醇的培養基中生長[1]。
氧化葡糖桿菌能夠合成L-山梨糖,但其高濃度底物D-山梨醇會對發酵過程造成嚴重抑制。補料分批發酵可以緩解底物抑制,但會增加生產成本和污染風險。因此需要獲得一種能耐受更高D-山梨醇濃度的氧化葡糖桿菌,以緩解底物的抑制作用。為直接提高微生物對不利環境脅迫的耐受性,適應性進化是在特定環境條件下進化微生物的有效方法,與傳統的自適應性進化相比,MMC的應用可以減少時間和,簡化實驗過程,提高效率。
本研究旨在利用MMC對Gluconobacter oxydans WSH-004進行適應性進化,以提高其對高濃度底物和高溫的耐受性。經過約90d的進化實驗后,獲得了多個適應性進化的菌株,即Gluconobacter oxydans MMC1-MMC10。結果表明,最佳菌株MMC10在40°C下、含300 g/L D-山梨醇的培養基中生長。比較基因組分析顯示,與耐受性增加相關的遺傳變化主要發生在蛋白質翻譯基因中。這項研究表明,液滴微流控技術是在短時間內改善未闡明基因型表型的有效工具。



[1] Liu L, Zeng W, Yu S, Li J and Zhou J (2021) Rapid Enabling of Gluconobacter oxydans Resistance to High D-Sorbitol Concentration and High Temperature by MicrodropletAided Adaptive Evolution. Front. Bioeng. Biotechnol. 9:731247.
doi: 10.3389/fbioe.2021.731247




